Astronomers solve the mystery of why the Sun’s outer atmosphere is far hotter than its surface
The mystery of why the Sun’s outer atmosphere is far hotter than its surface has long puzzled scientists. The solar corona reaches temperatures of over a million degrees Celsius, while the surface below barely tops 5,500°C. This heating happens despite the corona being further from the Sun’s core, where most of the energy is produced. At the same time, the solar wind—a stream of charged particles constantly flowing from the Sun—is somehow accelerated to extreme speeds as it travels through space.
Scientists have long believed that a process called turbulent dissipation, where mechanical energy transforms into heat, plays a big role in both heating the corona and speeding up the solar wind. But exactly how that energy turns into heat has remained unclear. The solar wind is made up of a super-hot, sparse gas called plasma, and it behaves in unusual ways because its particles rarely collide. These “collisionless” conditions make it difficult for heat to spread in the ways we usually understand.
Now, using data from NASA’s Parker Solar Probe, researchers have uncovered strong evidence for a newly confirmed process that may solve the puzzle: the helicity barrier.
Parker Solar Probe flying in front of the sun. (CREDIT: Queen Mary University)
Parker Solar Probe Brings New Clarity
NASA’s Parker Solar Probe is the first spacecraft to fly directly into the solar corona. It travels closer to the Sun than any spacecraft before it, diving into a region where the plasma is especially hot, fast, and collisionless. Its unique journey gave researchers a close-up look at the swirling magnetic fields and rushing particles of the solar wind.
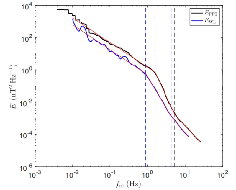
Thanks to Parker’s instruments, scientists could measure the magnetic energy spectrum in the solar wind—basically how the energy from big swirling movements travels down into smaller scales, where it might finally turn into heat. What they found matched predictions from earlier theories about a kind of energetic “roadblock” called the helicity barrier.
The helicity barrier, long suggested by theoretical models, appears to stop the usual downward flow of turbulent energy at certain scales. Instead of freely cascading into smaller and smaller movements that become heat, the energy hits this barrier and changes direction. This shift has major effects on how the solar wind heats up and behaves.
What the Data Shows
Jack McIntyre, a PhD student and lead author of the study at Queen Mary University of London, helped analyze the Parker data. His team looked at how the shape of the magnetic energy spectrum changed under different conditions. They found clear signs of the barrier forming when specific physical values were met.

Example magnetic spectra 𝐸 obtained from PSP data from 1 November 2018. (CREDIT: Jack McIntyre, et al.)
“We can now account for properties of the solar wind that were previously unexplained,” said McIntyre. “This includes why protons in the solar wind are often hotter than electrons. Understanding this new barrier improves our overall knowledge of how turbulent dissipation works and helps us make better sense of other plasma systems in space.”
The key conditions for the helicity barrier to appear involve the pressure and magnetic field strength of the plasma. The team identified that the barrier shows up fully when the ion plasma beta—a ratio comparing the pressure of particles to the pressure from the magnetic field—is below about 0.5. That means the magnetic force dominates over the internal pressure of the plasma.
They also found that the barrier becomes more prominent when the “cross helicity”—a measure of imbalance between waves moving in opposite directions—rises above about 0.4. In simple terms, when more energy moves in one direction than the other, the barrier becomes stronger. These conditions happen frequently in the near-Sun environment, exactly where the Parker Solar Probe collects its data. That means the helicity barrier is likely a major force shaping the solar wind’s behavior—and not just a rare phenomenon.
Why It Matters
Dr. Christopher Chen, Reader in Space Plasma Physics at Queen Mary and McIntyre’s supervisor, explained the importance of the findings. “This paper is important as it provides clear evidence for the presence of the helicity barrier,” he said. “It answers long-standing questions about coronal heating and solar wind acceleration. For instance, it helps explain temperature differences in the solar atmosphere and the variability we see in solar wind streams.”

The median value of the high frequency break point 𝑘⊥,2𝜌i for intervals binned by the normalized cross helicity |𝜎c| and the degree of left-handed polarization 𝜎LH p. (CREDIT: Jack McIntyre, et al.)
This discovery doesn’t just impact our understanding of the Sun. Many places in the universe contain hot, sparse plasmas just like the solar wind. From the spaces between stars to entire galaxies, these plasmas also show signs of complex turbulence. But until now, scientists lacked clear evidence of how energy moved and turned into heat under those conditions.
By confirming the helicity barrier in the solar wind, researchers now have a powerful example to study. The Sun provides a natural laboratory just a few million miles away. And thanks to the Parker Solar Probe, we can now peek into that lab with a level of detail never before possible.
The Bigger Picture
Understanding turbulent dissipation in plasmas has more than just scientific value. It also helps in predicting space weather. Storms in the solar wind can damage satellites, affect communications, and even knock out power grids on Earth. Knowing how energy moves and builds up in the solar wind can make forecasts more accurate and reduce the risk of surprise events.
Furthermore, this kind of research lays the groundwork for better models of other stars and cosmic systems. With a more accurate picture of how plasmas heat and behave, scientists can better explain everything from the glowing arms of galaxies to the behavior of material falling into black holes.

The median value of the transition range index αT for the intervals binned by the degree of circular polarization σLH p and the absolute normalized cross helicity. (CREDIT: Jack McIntyre, et al.)
Although there is still much to explore, the new findings give scientists a major piece of the puzzle. By confirming the presence and influence of the helicity barrier, researchers are now better equipped to understand how the universe’s hottest and most active regions work.
As McIntyre and his colleagues continue to analyze Parker’s data and refine their models, they may uncover even more secrets hiding in the solar wind. One thing is clear: the barrier that once kept energy from becoming heat has now become a gateway to discovery.
Research findings are available online in the journal Physical Review X.
Related Stories
Note: The article above provided above by The Brighter Side of News.
Like these kind of feel good stories? Get The Brighter Side of News’ newsletter.
First Appeared on
Source link